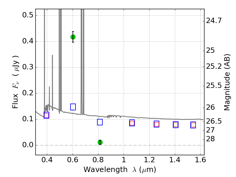
RXS0603+42-S IR detection object #7137

Color images and BPZ results
Catalog: 7137.cat
Black segments are analyzed here.   Roll mouse over color images to view segments.
Best viewed in a wide browser window (1200 pixels or more).   Download SED & P(z) plots to view larger versions.
In P(z) plots: Yellow lines mark the cluster redshift z = 0.228,  

Object #7137   x,y = (3533, 1028)   RA, Dec = (06:03:20.832, 42:08:27.96) = (90.83680, 42.14110)   BPZ = 0.018 [0.010--0.038]   type = 11.00 (SB11_A_0_l)   stellarity = 0.66   chisq2 = 178.30   ODDS = 1.00   z_cluster = 0.228