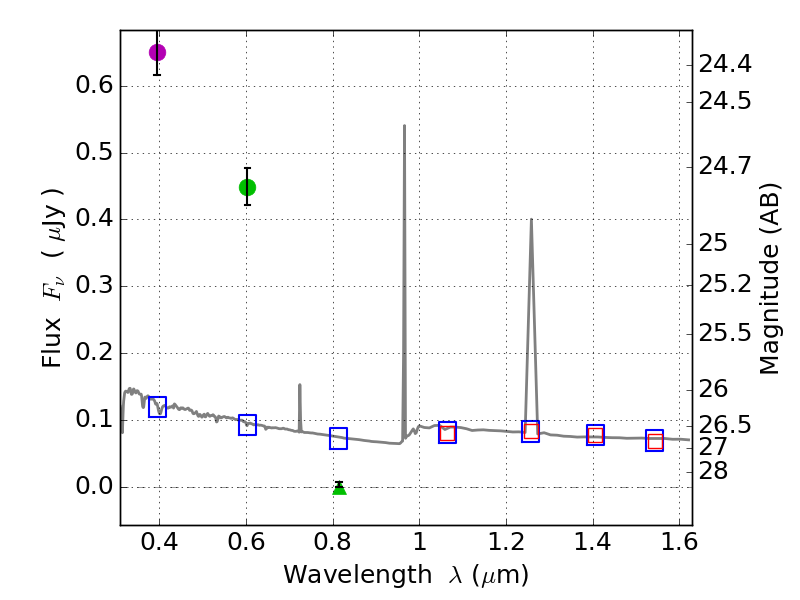
RXS0603+42-S IR detection object #7120

Color images and BPZ results
Catalog: 7120.cat
Black segments are analyzed here.   Roll mouse over color images to view segments.
Best viewed in a wide browser window (1200 pixels or more).   Download SED & P(z) plots to view larger versions.
In P(z) plots: Yellow lines mark the cluster redshift z = 0.228,  

Object #7120   x,y = (3436, 1037)   RA, Dec = (06:03:21.360, 42:08:28.68) = (90.83900, 42.14130)   BPZ = 1.594 [0.025--1.897]   type = 11.00 (SB11_A_0_l)   stellarity = 0.98   chisq2 = 410.10   ODDS = 0.64   z_cluster = 0.228