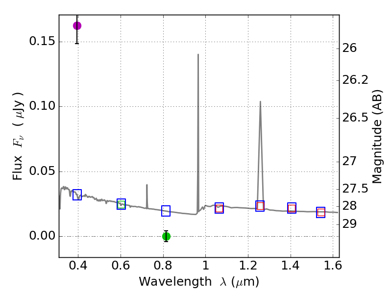
RXS0603+42-S IR detection object #7118

Color images and BPZ results
Catalog: 7118.cat
Black segments are analyzed here.   Roll mouse over color images to view segments.
Best viewed in a wide browser window (1200 pixels or more).   Download SED & P(z) plots to view larger versions.
In P(z) plots: Yellow lines mark the cluster redshift z = 0.228,  

Object #7118   x,y = (3148, 1044)   RA, Dec = (06:03:22.920, 42:08:29.04) = (90.84550, 42.14140)   BPZ = 1.595 [1.263--2.182]   type = 11.00 (SB11_A_0_l)   stellarity = 0.79   chisq2 = 97.86   ODDS = 0.36   z_cluster = 0.228