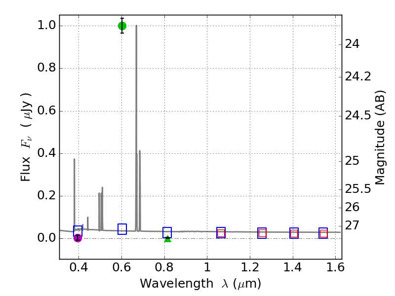
RXS0603+42-S IR detection object #7077

Color images and BPZ results
Catalog: 7077.cat
Black segments are analyzed here.   Roll mouse over color images to view segments.
Best viewed in a wide browser window (1200 pixels or more).   Download SED & P(z) plots to view larger versions.
In P(z) plots: Yellow lines mark the cluster redshift z = 0.228,  

Object #7077   x,y = (3251, 1063)   RA, Dec = (06:03:22.368, 42:08:30.12) = (90.84320, 42.14170)   BPZ = 0.024 [0.011--2.982]   type = 11.00 (SB11_A_0_l)   stellarity = 0.84   chisq2 = 755.50   ODDS = 0.78   z_cluster = 0.228