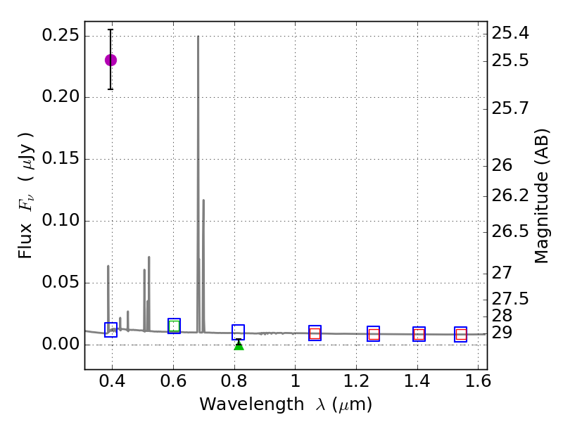
RXS0603+42-S IR detection object #7056

Color images and BPZ results
Catalog: 7056.cat
Black segments are analyzed here.   Roll mouse over color images to view segments.
Best viewed in a wide browser window (1200 pixels or more).   Download SED & P(z) plots to view larger versions.
In P(z) plots: Yellow lines mark the cluster redshift z = 0.228,  

Object #7056   x,y = (2972, 1075)   RA, Dec = (06:03:23.880, 42:08:30.84) = (90.84950, 42.14190)   BPZ = 0.038 [0.028--0.854]   type = 11.00 (SB11_A_0_l)   stellarity = 0.73   chisq2 = 86.83   ODDS = 0.11   z_cluster = 0.228