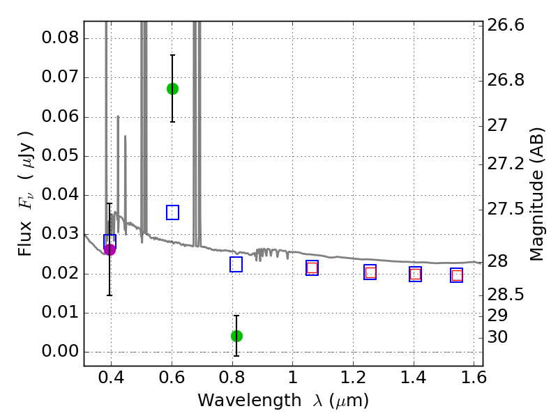
RXS0603+42-S IR detection object #698

Color images and BPZ results
Catalog: 698.cat
Black segments are analyzed here.   Roll mouse over color images to view segments.
Best viewed in a wide browser window (1200 pixels or more).   Download SED & P(z) plots to view larger versions.
In P(z) plots: Yellow lines mark the cluster redshift z = 0.228,  

Object #698   x,y = (1995, 4045)   RA, Dec = (06:03:29.136, 42:11:29.04) = (90.87140, 42.19140)   BPZ = 0.028 [0.028--2.968]   type = 11.00 (SB11_A_0_l)   stellarity = 0.35   chisq2 = 23.13   ODDS = 0.06   z_cluster = 0.228