RXS0603+42-S IR detection object #6969

Color images and BPZ results
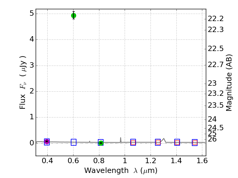
Catalog: 6969.cat
Black segments are analyzed here.   Roll mouse over color images to view segments.
Best viewed in a wide browser window (1200 pixels or more).   Download SED & P(z) plots to view larger versions.
In P(z) plots: Yellow lines mark the cluster redshift z = 0.228,  

Object #6969   x,y = (3176, 1123)   RA, Dec = (06:03:22.776, 42:08:33.72) = (90.84490, 42.14270)   BPZ = 1.596 [1.031--2.646]   type = 11.00 (SB11_A_0_l)   stellarity = 1.00   chisq2 = 1140.00   ODDS = 0.22   z_cluster = 0.228