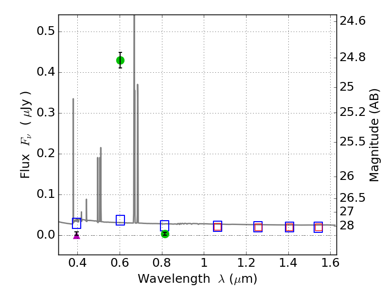
RXS0603+42-S IR detection object #6961

Color images and BPZ results
Catalog: 6961.cat
Black segments are analyzed here.   Roll mouse over color images to view segments.
Best viewed in a wide browser window (1200 pixels or more).   Download SED & P(z) plots to view larger versions.
In P(z) plots: Yellow lines mark the cluster redshift z = 0.228,  

Object #6961   x,y = (3068, 1128)   RA, Dec = (06:03:23.352, 42:08:34.08) = (90.84730, 42.14280)   BPZ = 0.024 [0.011--3.282]   type = 11.00 (SB11_A_0_l)   stellarity = 0.71   chisq2 = 444.40   ODDS = 0.58   z_cluster = 0.228