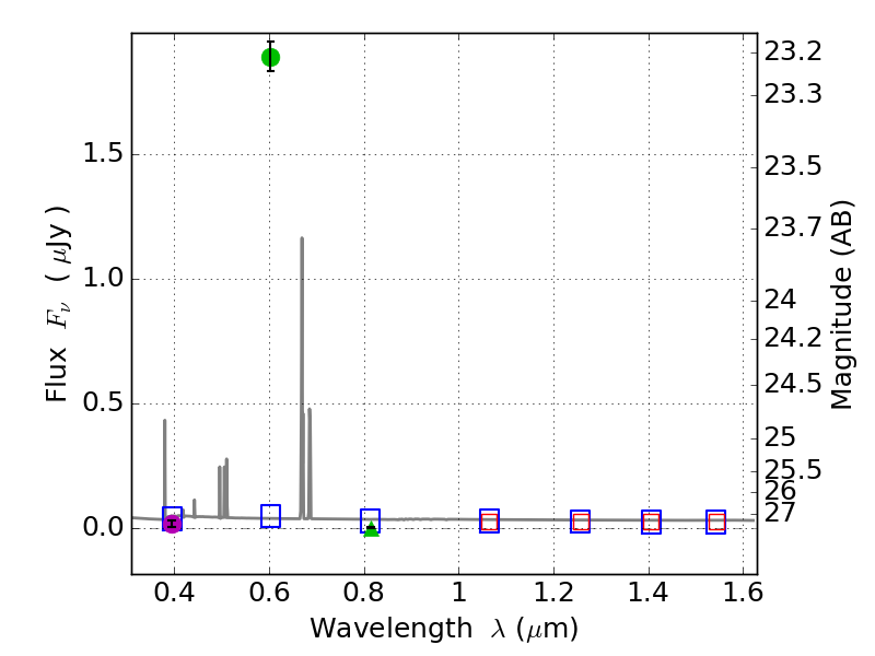
RXS0603+42-S IR detection object #6947

Color images and BPZ results
Catalog: 6947.cat
Black segments are analyzed here.   Roll mouse over color images to view segments.
Best viewed in a wide browser window (1200 pixels or more).   Download SED & P(z) plots to view larger versions.
In P(z) plots: Yellow lines mark the cluster redshift z = 0.228,  

Object #6947   x,y = (3034, 1141)   RA, Dec = (06:03:23.544, 42:08:34.80) = (90.84810, 42.14300)   BPZ = 0.025 [0.011--2.782]   type = 11.00 (SB11_A_0_l)   stellarity = 0.81   chisq2 = 985.00   ODDS = 0.61   z_cluster = 0.228