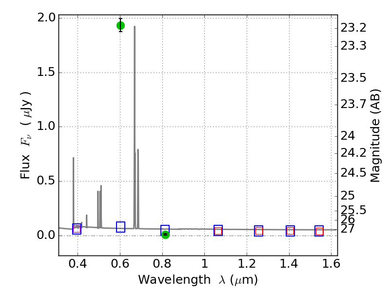
RXS0603+42-S IR detection object #694

Color images and BPZ results
Catalog: 694.cat
Black segments are analyzed here.   Roll mouse over color images to view segments.
Best viewed in a wide browser window (1200 pixels or more).   Download SED & P(z) plots to view larger versions.
In P(z) plots: Yellow lines mark the cluster redshift z = 0.228,  

Object #694   x,y = (3020, 4040)   RA, Dec = (06:03:23.616, 42:11:28.68) = (90.84840, 42.19130)   BPZ = 0.021 [0.010--2.535]   type = 11.00 (SB11_A_0_l)   stellarity = 1.00   chisq2 = 1021.00   ODDS = 0.86   z_cluster = 0.228