RXS0603+42-S IR detection object #6875

Color images and BPZ results
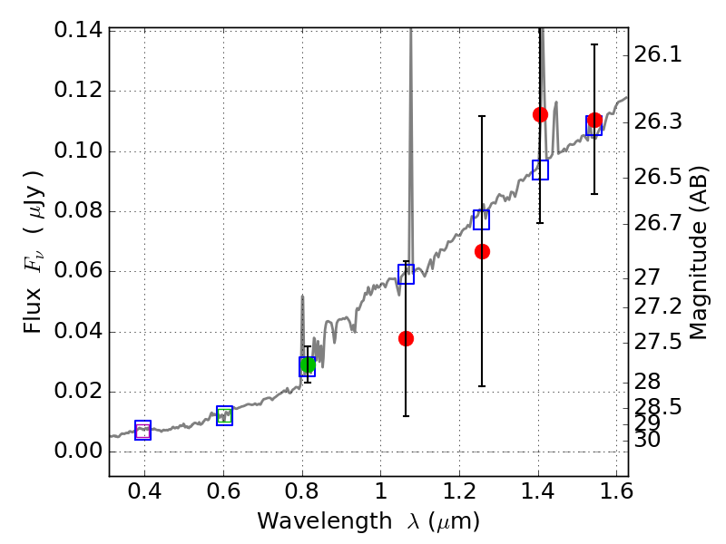
Catalog: 6875.cat
Black segments are analyzed here.   Roll mouse over color images to view segments.
Best viewed in a wide browser window (1200 pixels or more).   Download SED & P(z) plots to view larger versions.
In P(z) plots: Yellow lines mark the cluster redshift z = 0.228,  

Object #6875   x,y = (2365, 1183)   RA, Dec = (06:03:27.144, 42:08:37.32) = (90.86310, 42.14370)   BPZ = 1.151 [0.511--3.275]   type = 6.70 (Scd_B10 - Sbc_B10)   stellarity = 0.91   chisq2 = 0.48   ODDS = 0.10   z_cluster = 0.228