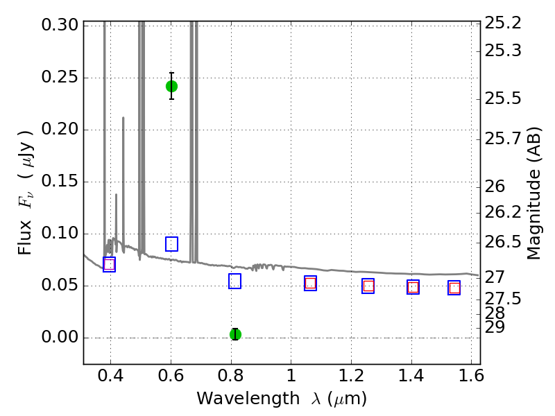
RXS0603+42-S IR detection object #6860

Color images and BPZ results
Catalog: 6860.cat
Black segments are analyzed here.   Roll mouse over color images to view segments.
Best viewed in a wide browser window (1200 pixels or more).   Download SED & P(z) plots to view larger versions.
In P(z) plots: Yellow lines mark the cluster redshift z = 0.228,  

Object #6860   x,y = (3548, 1189)   RA, Dec = (06:03:20.760, 42:08:37.68) = (90.83650, 42.14380)   BPZ = 0.018 [0.010--0.039]   type = 11.00 (SB11_A_0_l)   stellarity = 0.92   chisq2 = 159.30   ODDS = 1.00   z_cluster = 0.228