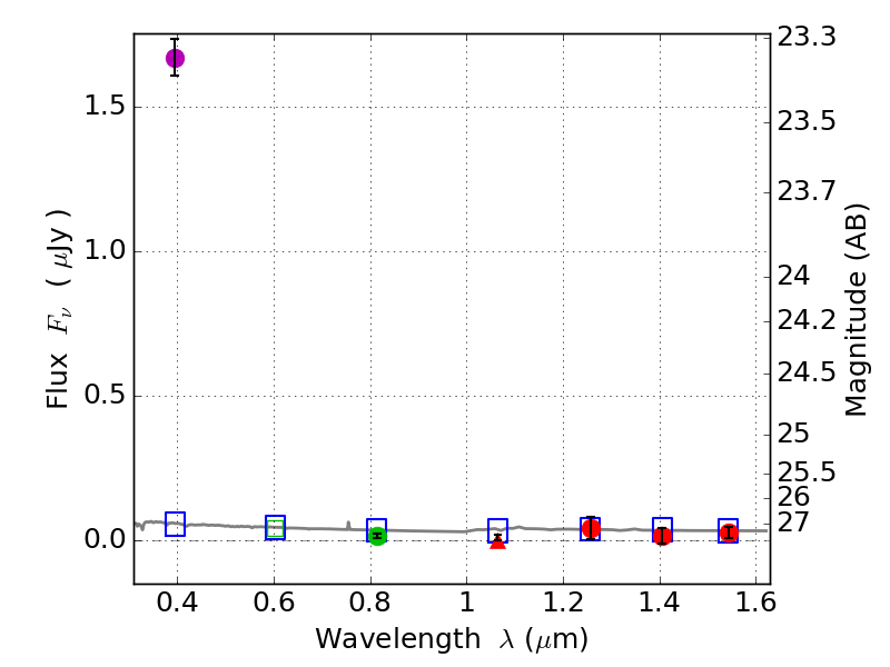
RXS0603+42-S IR detection object #6831

Color images and BPZ results
Catalog: 6831.cat
Black segments are analyzed here.   Roll mouse over color images to view segments.
Best viewed in a wide browser window (1200 pixels or more).   Download SED & P(z) plots to view larger versions.
In P(z) plots: Yellow lines mark the cluster redshift z = 0.228,  

Object #6831   x,y = (2573, 1207)   RA, Dec = (06:03:26.016, 42:08:38.76) = (90.85840, 42.14410)   BPZ = 1.697 [1.337--2.231]   type = 11.00 (SB11_A_0_l)   stellarity = 0.69   chisq2 = 224.70   ODDS = 0.42   z_cluster = 0.228