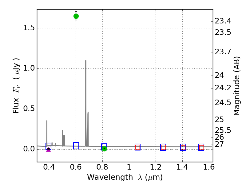
RXS0603+42-S IR detection object #6823

Color images and BPZ results
Catalog: 6823.cat
Black segments are analyzed here.   Roll mouse over color images to view segments.
Best viewed in a wide browser window (1200 pixels or more).   Download SED & P(z) plots to view larger versions.
In P(z) plots: Yellow lines mark the cluster redshift z = 0.228,  

Object #6823   x,y = (2801, 1207)   RA, Dec = (06:03:24.792, 42:08:38.76) = (90.85330, 42.14410)   BPZ = 0.027 [0.021--3.527]   type = 11.00 (SB11_A_0_l)   stellarity = 0.76   chisq2 = 923.40   ODDS = 0.09   z_cluster = 0.228