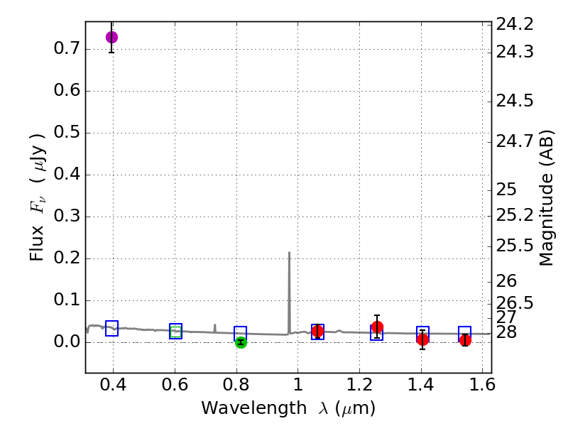
RXS0603+42-S IR detection object #6819

Color images and BPZ results
Catalog: 6819.cat
Black segments are analyzed here.   Roll mouse over color images to view segments.
Best viewed in a wide browser window (1200 pixels or more).   Download SED & P(z) plots to view larger versions.
In P(z) plots: Yellow lines mark the cluster redshift z = 0.228,  

Object #6819   x,y = (2556, 1213)   RA, Dec = (06:03:26.112, 42:08:39.12) = (90.85880, 42.14420)   BPZ = 1.612 [1.095--2.298]   type = 11.00 (SB11_A_0_l)   stellarity = 0.65   chisq2 = 115.30   ODDS = 0.37   z_cluster = 0.228