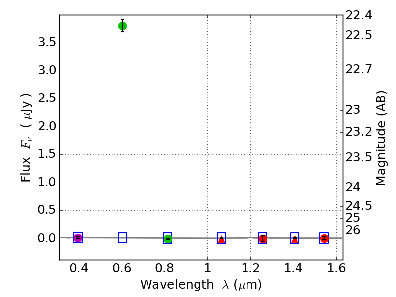
RXS0603+42-S IR detection object #6805

Color images and BPZ results
Catalog: 6805.cat
Black segments are analyzed here.   Roll mouse over color images to view segments.
Best viewed in a wide browser window (1200 pixels or more).   Download SED & P(z) plots to view larger versions.
In P(z) plots: Yellow lines mark the cluster redshift z = 0.228,  

Object #6805   x,y = (2797, 1217)   RA, Dec = (06:03:24.816, 42:08:39.48) = (90.85340, 42.14430)   BPZ = 1.927 [0.333--6.673]   type = 11.00 (SB11_A_0_l)   stellarity = 0.99   chisq2 = 285.90   ODDS = 0.09   z_cluster = 0.228