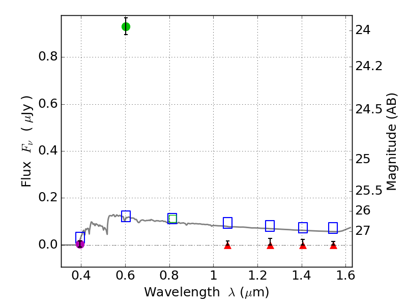
RXS0603+42-S IR detection object #6792

Color images and BPZ results
Catalog: 6792.cat
Black segments are analyzed here.   Roll mouse over color images to view segments.
Best viewed in a wide browser window (1200 pixels or more).   Download SED & P(z) plots to view larger versions.
In P(z) plots: Yellow lines mark the cluster redshift z = 0.228,  

Object #6792   x,y = (2741, 1224)   RA, Dec = (06:03:25.128, 42:08:39.84) = (90.85470, 42.14440)   BPZ = 3.275 [3.086--3.477]   type = 11.00 (SB11_A_0_l)   stellarity = 0.69   chisq2 = 186.00   ODDS = 0.93   z_cluster = 0.228