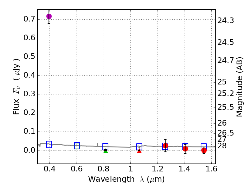
RXS0603+42-S IR detection object #6791

Color images and BPZ results
Catalog: 6791.cat
Black segments are analyzed here.   Roll mouse over color images to view segments.
Best viewed in a wide browser window (1200 pixels or more).   Download SED & P(z) plots to view larger versions.
In P(z) plots: Yellow lines mark the cluster redshift z = 0.228,  

Object #6791   x,y = (2526, 1223)   RA, Dec = (06:03:26.280, 42:08:39.84) = (90.85950, 42.14440)   BPZ = 1.697 [0.847--2.433]   type = 11.00 (SB11_A_0_l)   stellarity = 0.99   chisq2 = 109.10   ODDS = 0.35   z_cluster = 0.228