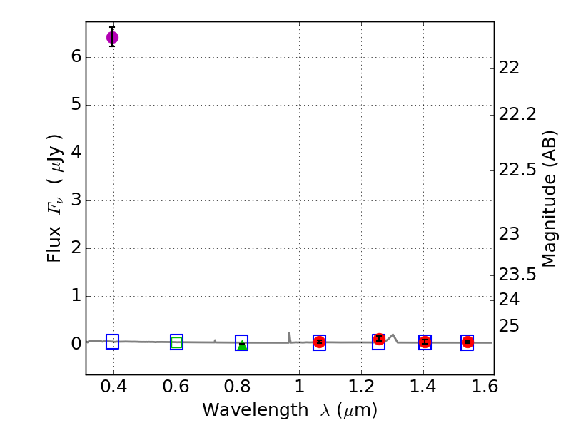
RXS0603+42-S IR detection object #6769

Color images and BPZ results
Catalog: 6769.cat
Black segments are analyzed here.   Roll mouse over color images to view segments.
Best viewed in a wide browser window (1200 pixels or more).   Download SED & P(z) plots to view larger versions.
In P(z) plots: Yellow lines mark the cluster redshift z = 0.228,  

Object #6769   x,y = (2519, 1225)   RA, Dec = (06:03:26.304, 42:08:39.84) = (90.85960, 42.14440)   BPZ = 1.596 [0.641--6.710]   type = 11.00 (SB11_A_0_l)   stellarity = 0.96   chisq2 = 352.60   ODDS = 0.21   z_cluster = 0.228