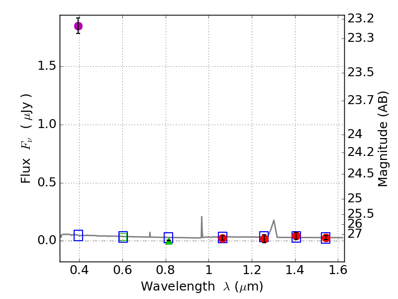
RXS0603+42-S IR detection object #6767

Color images and BPZ results
Catalog: 6767.cat
Black segments are analyzed here.   Roll mouse over color images to view segments.
Best viewed in a wide browser window (1200 pixels or more).   Download SED & P(z) plots to view larger versions.
In P(z) plots: Yellow lines mark the cluster redshift z = 0.228,  

Object #6767   x,y = (2516, 1219)   RA, Dec = (06:03:26.328, 42:08:39.48) = (90.85970, 42.14430)   BPZ = 1.597 [1.180--2.230]   type = 11.00 (SB11_A_0_l)   stellarity = 0.78   chisq2 = 239.60   ODDS = 0.33   z_cluster = 0.228