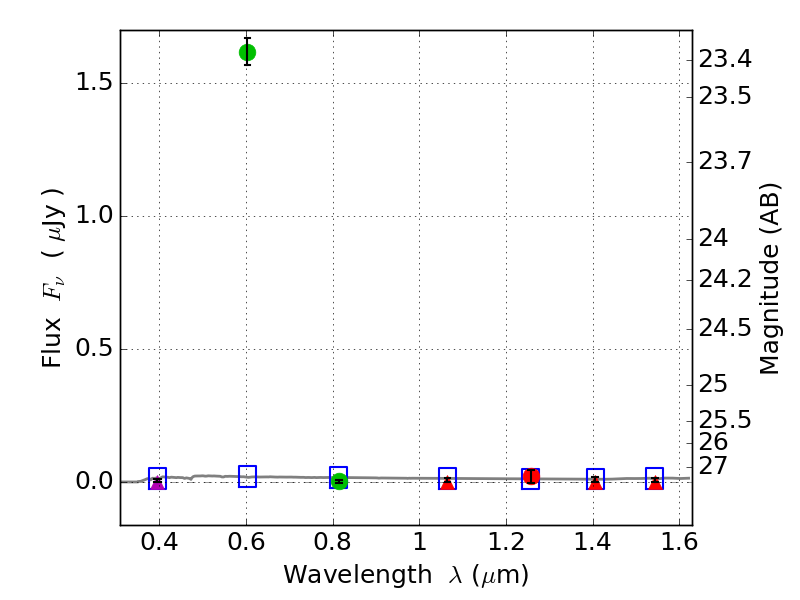
RXS0603+42-S IR detection object #6742

Color images and BPZ results
Catalog: 6742.cat
Black segments are analyzed here.   Roll mouse over color images to view segments.
Best viewed in a wide browser window (1200 pixels or more).   Download SED & P(z) plots to view larger versions.
In P(z) plots: Yellow lines mark the cluster redshift z = 0.228,  

Object #6742   x,y = (2769, 1248)   RA, Dec = (06:03:24.960, 42:08:41.28) = (90.85400, 42.14480)   BPZ = 2.898 [0.053--3.804]   type = 11.00 (SB11_A_0_l)   stellarity = 0.98   chisq2 = 247.90   ODDS = 0.20   z_cluster = 0.228