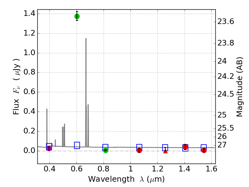
RXS0603+42-S IR detection object #6740

Color images and BPZ results
Catalog: 6740.cat
Black segments are analyzed here.   Roll mouse over color images to view segments.
Best viewed in a wide browser window (1200 pixels or more).   Download SED & P(z) plots to view larger versions.
In P(z) plots: Yellow lines mark the cluster redshift z = 0.228,  

Object #6740   x,y = (2706, 1250)   RA, Dec = (06:03:25.296, 42:08:41.28) = (90.85540, 42.14480)   BPZ = 0.024 [0.011--2.947]   type = 11.00 (SB11_A_0_l)   stellarity = 0.80   chisq2 = 213.90   ODDS = 0.70   z_cluster = 0.228