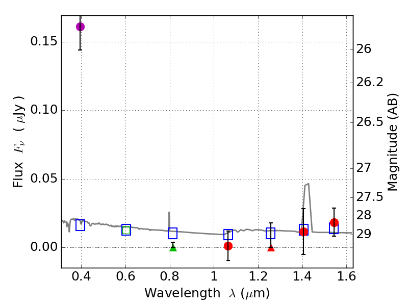
RXS0603+42-S IR detection object #6730

Color images and BPZ results
Catalog: 6730.cat
Black segments are analyzed here.   Roll mouse over color images to view segments.
Best viewed in a wide browser window (1200 pixels or more).   Download SED & P(z) plots to view larger versions.
In P(z) plots: Yellow lines mark the cluster redshift z = 0.228,  

Object #6730   x,y = (2463, 1255)   RA, Dec = (06:03:26.616, 42:08:41.64) = (90.86090, 42.14490)   BPZ = 1.853 [0.643--7.713]   type = 11.00 (SB11_A_0_l)   stellarity = 0.64   chisq2 = 25.66   ODDS = 0.17   z_cluster = 0.228