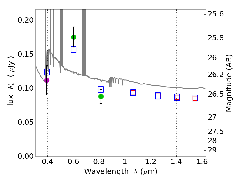
RXS0603+42-S IR detection object #673

Color images and BPZ results
Catalog: 673.cat
Black segments are analyzed here.   Roll mouse over color images to view segments.
Best viewed in a wide browser window (1200 pixels or more).   Download SED & P(z) plots to view larger versions.
In P(z) plots: Yellow lines mark the cluster redshift z = 0.228,  

Object #673   x,y = (2017, 4056)   RA, Dec = (06:03:29.016, 42:11:29.76) = (90.87090, 42.19160)   BPZ = 0.030 [0.012--2.838]   type = 11.00 (SB11_A_0_l)   stellarity = 0.36   chisq2 = 1.72   ODDS = 0.49   z_cluster = 0.228