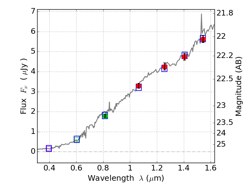
RXS0603+42-S IR detection object #6728

Color images and BPZ results
Catalog: 6728.cat
Black segments are analyzed here.   Roll mouse over color images to view segments.
Best viewed in a wide browser window (1200 pixels or more).   Download SED & P(z) plots to view larger versions.
In P(z) plots: Yellow lines mark the cluster redshift z = 0.228,  

Object #6728   x,y = (2109, 1298)   RA, Dec = (06:03:28.536, 42:08:44.16) = (90.86890, 42.14560)   BPZ = 0.694 [0.531--1.241]   type = 6.00 (Sbc_B10)   stellarity = 0.03   chisq2 = 0.06   ODDS = 0.53   z_cluster = 0.228