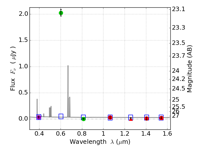
RXS0603+42-S IR detection object #6725

Color images and BPZ results
Catalog: 6725.cat
Black segments are analyzed here.   Roll mouse over color images to view segments.
Best viewed in a wide browser window (1200 pixels or more).   Download SED & P(z) plots to view larger versions.
In P(z) plots: Yellow lines mark the cluster redshift z = 0.228,  

Object #6725   x,y = (2754, 1253)   RA, Dec = (06:03:25.056, 42:08:41.64) = (90.85440, 42.14490)   BPZ = 0.025 [0.017--2.939]   type = 11.00 (SB11_A_0_l)   stellarity = 0.68   chisq2 = 244.90   ODDS = 0.14   z_cluster = 0.228