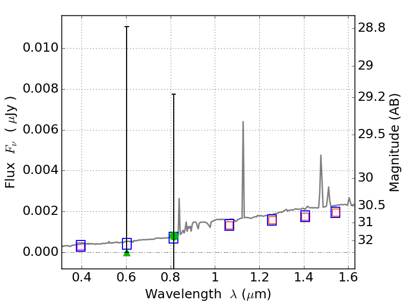
RXS0603+42-S IR detection object #672

Color images and BPZ results
Catalog: 672.cat
Black segments are analyzed here.   Roll mouse over color images to view segments.
Best viewed in a wide browser window (1200 pixels or more).   Download SED & P(z) plots to view larger versions.
In P(z) plots: Yellow lines mark the cluster redshift z = 0.228,  

Object #672   x,y = (2706, 4057)   RA, Dec = (06:03:25.296, 42:11:29.76) = (90.85540, 42.19160)   BPZ = 1.253 [0.355--9.441]   type = 8.00 (SB1_B10)   stellarity = 0.76   chisq2 = 900.00   ODDS = 0.05   z_cluster = 0.228