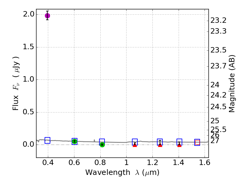
RXS0603+42-S IR detection object #6715

Color images and BPZ results
Catalog: 6715.cat
Black segments are analyzed here.   Roll mouse over color images to view segments.
Best viewed in a wide browser window (1200 pixels or more).   Download SED & P(z) plots to view larger versions.
In P(z) plots: Yellow lines mark the cluster redshift z = 0.228,  

Object #6715   x,y = (3530, 1258)   RA, Dec = (06:03:20.856, 42:08:41.64) = (90.83690, 42.14490)   BPZ = 1.699 [1.371--2.140]   type = 11.00 (SB11_A_0_l)   stellarity = 0.84   chisq2 = 268.00   ODDS = 0.44   z_cluster = 0.228