RXS0603+42-S IR detection object #6714

Color images and BPZ results
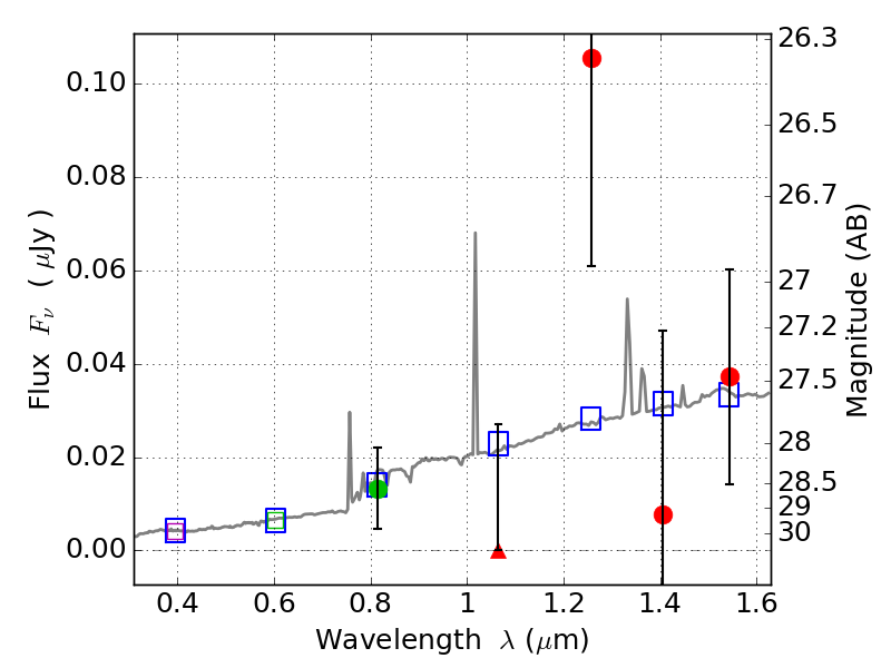
Catalog: 6714.cat
Black segments are analyzed here.   Roll mouse over color images to view segments.
Best viewed in a wide browser window (1200 pixels or more).   Download SED & P(z) plots to view larger versions.
In P(z) plots: Yellow lines mark the cluster redshift z = 0.228,  

Object #6714   x,y = (2375, 1259)   RA, Dec = (06:03:27.096, 42:08:42.00) = (90.86290, 42.14500)   BPZ = 1.030 [0.310--6.184]   type = 7.60 (SB1_B10 - Scd_B10)   stellarity = 0.99   chisq2 = 2.05   ODDS = 0.07   z_cluster = 0.228