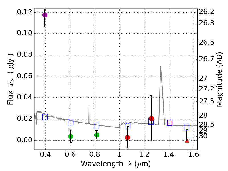
RXS0603+42-S IR detection object #6711

Color images and BPZ results
Catalog: 6711.cat
Black segments are analyzed here.   Roll mouse over color images to view segments.
Best viewed in a wide browser window (1200 pixels or more).   Download SED & P(z) plots to view larger versions.
In P(z) plots: Yellow lines mark the cluster redshift z = 0.228,  

Object #6711   x,y = (3126, 1262)   RA, Dec = (06:03:23.040, 42:08:42.00) = (90.84600, 42.14500)   BPZ = 1.695 [0.970--2.277]   type = 11.00 (SB11_A_0_l)   stellarity = 0.64   chisq2 = 27.57   ODDS = 0.39   z_cluster = 0.228