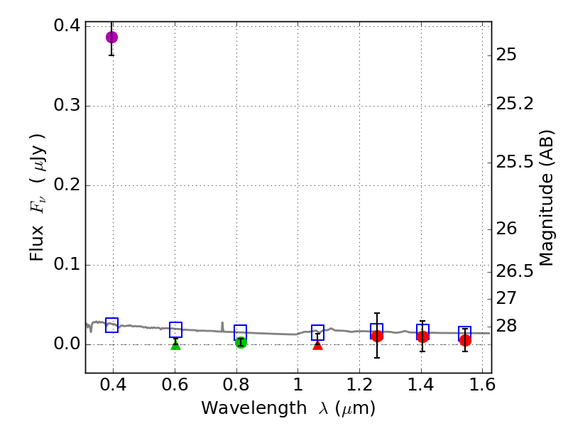
RXS0603+42-S IR detection object #6682

Color images and BPZ results
Catalog: 6682.cat
Black segments are analyzed here.   Roll mouse over color images to view segments.
Best viewed in a wide browser window (1200 pixels or more).   Download SED & P(z) plots to view larger versions.
In P(z) plots: Yellow lines mark the cluster redshift z = 0.228,  

Object #6682   x,y = (3496, 1264)   RA, Dec = (06:03:21.048, 42:08:42.00) = (90.83770, 42.14500)   BPZ = 1.697 [0.944--2.348]   type = 11.00 (SB11_A_0_l)   stellarity = 0.87   chisq2 = 62.29   ODDS = 0.32   z_cluster = 0.228