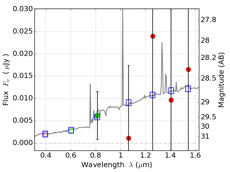
RXS0603+42-S IR detection object #6679

Color images and BPZ results
Catalog: 6679.cat
Black segments are analyzed here.   Roll mouse over color images to view segments.
Best viewed in a wide browser window (1200 pixels or more).   Download SED & P(z) plots to view larger versions.
In P(z) plots: Yellow lines mark the cluster redshift z = 0.228,  

Object #6679   x,y = (3664, 1268)   RA, Dec = (06:03:20.136, 42:08:42.36) = (90.83390, 42.14510)   BPZ = 1.030 [0.299--7.011]   type = 8.00 (SB1_B10)   stellarity = 0.70   chisq2 = 0.21   ODDS = 0.06   z_cluster = 0.228