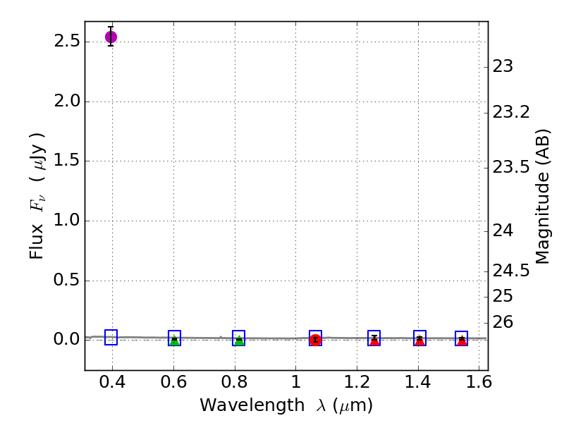
RXS0603+42-S IR detection object #6672

Color images and BPZ results
Catalog: 6672.cat
Black segments are analyzed here.   Roll mouse over color images to view segments.
Best viewed in a wide browser window (1200 pixels or more).   Download SED & P(z) plots to view larger versions.
In P(z) plots: Yellow lines mark the cluster redshift z = 0.228,  

Object #6672   x,y = (3522, 1269)   RA, Dec = (06:03:20.904, 42:08:42.36) = (90.83710, 42.14510)   BPZ = 1.700 [0.460--7.411]   type = 11.00 (SB11_A_0_l)   stellarity = 1.00   chisq2 = 243.70   ODDS = 0.15   z_cluster = 0.228