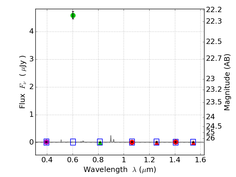
RXS0603+42-S IR detection object #6660

Color images and BPZ results
Catalog: 6660.cat
Black segments are analyzed here.   Roll mouse over color images to view segments.
Best viewed in a wide browser window (1200 pixels or more).   Download SED & P(z) plots to view larger versions.
In P(z) plots: Yellow lines mark the cluster redshift z = 0.228,  

Object #6660   x,y = (2686, 1276)   RA, Dec = (06:03:25.416, 42:08:42.72) = (90.85590, 42.14520)   BPZ = 0.374 [0.059--2.218]   type = 11.00 (SB11_A_0_l)   stellarity = 1.00   chisq2 = 286.70   ODDS = 0.12   z_cluster = 0.228