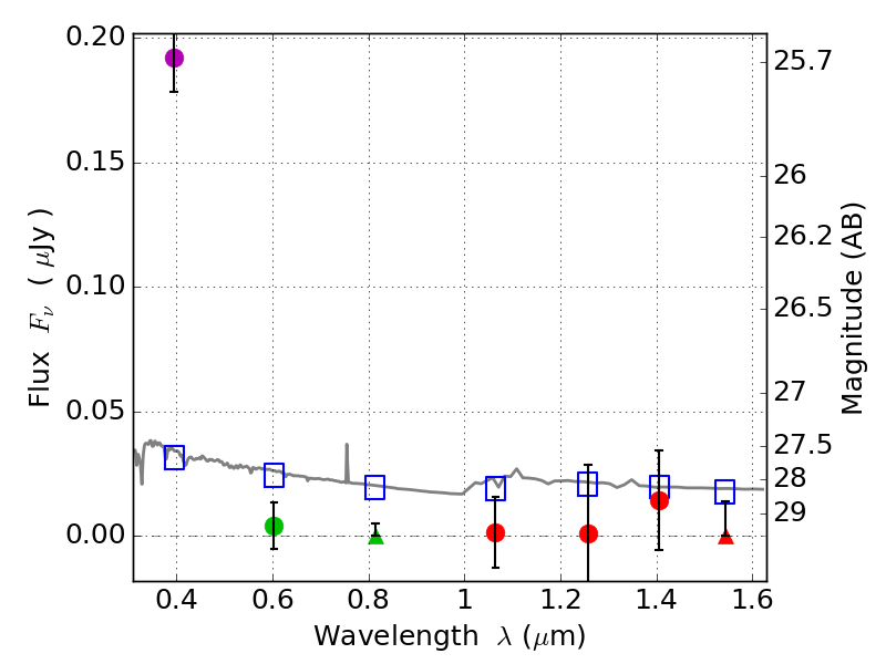
RXS0603+42-S IR detection object #6657

Color images and BPZ results
Catalog: 6657.cat
Black segments are analyzed here.   Roll mouse over color images to view segments.
Best viewed in a wide browser window (1200 pixels or more).   Download SED & P(z) plots to view larger versions.
In P(z) plots: Yellow lines mark the cluster redshift z = 0.228,  

Object #6657   x,y = (2820, 1279)   RA, Dec = (06:03:24.696, 42:08:43.08) = (90.85290, 42.14530)   BPZ = 1.698 [1.304--2.159]   type = 11.00 (SB11_A_0_l)   stellarity = 0.75   chisq2 = 36.80   ODDS = 0.49   z_cluster = 0.228