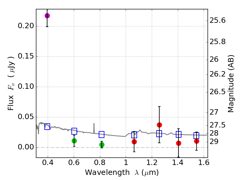
RXS0603+42-S IR detection object #6656

Color images and BPZ results
Catalog: 6656.cat
Black segments are analyzed here.   Roll mouse over color images to view segments.
Best viewed in a wide browser window (1200 pixels or more).   Download SED & P(z) plots to view larger versions.
In P(z) plots: Yellow lines mark the cluster redshift z = 0.228,  

Object #6656   x,y = (3479, 1279)   RA, Dec = (06:03:21.144, 42:08:43.08) = (90.83810, 42.14530)   BPZ = 1.698 [1.143--2.228]   type = 11.00 (SB11_A_0_l)   stellarity = 0.65   chisq2 = 27.04   ODDS = 0.42   z_cluster = 0.228