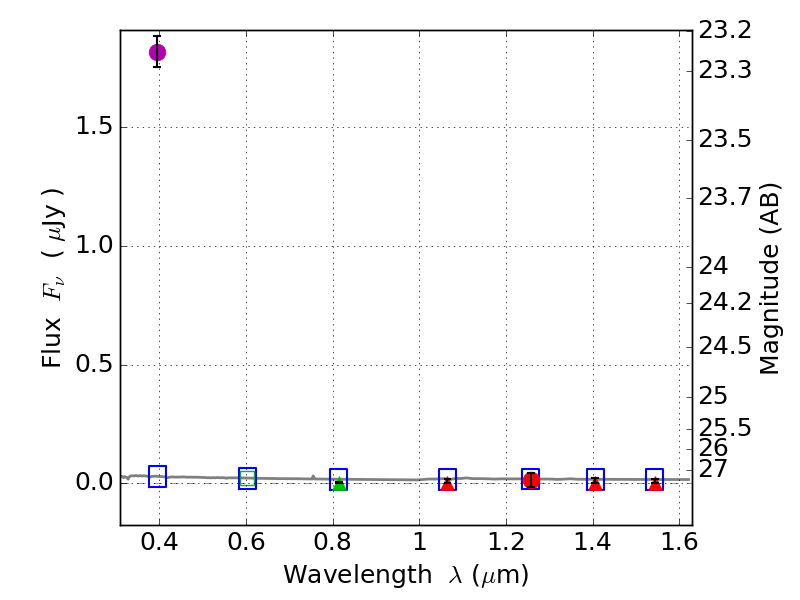
RXS0603+42-S IR detection object #6646

Color images and BPZ results
Catalog: 6646.cat
Black segments are analyzed here.   Roll mouse over color images to view segments.
Best viewed in a wide browser window (1200 pixels or more).   Download SED & P(z) plots to view larger versions.
In P(z) plots: Yellow lines mark the cluster redshift z = 0.228,  

Object #6646   x,y = (2369, 1282)   RA, Dec = (06:03:27.120, 42:08:43.08) = (90.86300, 42.14530)   BPZ = 1.699 [0.527--3.757]   type = 11.00 (SB11_A_0_l)   stellarity = 0.98   chisq2 = 250.80   ODDS = 0.25   z_cluster = 0.228