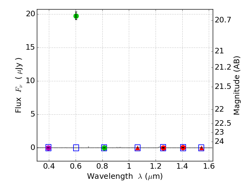
RXS0603+42-S IR detection object #6638

Color images and BPZ results
Catalog: 6638.cat
Black segments are analyzed here.   Roll mouse over color images to view segments.
Best viewed in a wide browser window (1200 pixels or more).   Download SED & P(z) plots to view larger versions.
In P(z) plots: Yellow lines mark the cluster redshift z = 0.228,  

Object #6638   x,y = (2643, 1309)   RA, Dec = (06:03:25.656, 42:08:44.88) = (90.85690, 42.14580)   BPZ = 0.874 [0.221--5.174]   type = 11.00 (SB11_A_0_l)   stellarity = 1.00   chisq2 = 287.10   ODDS = 0.06   z_cluster = 0.228