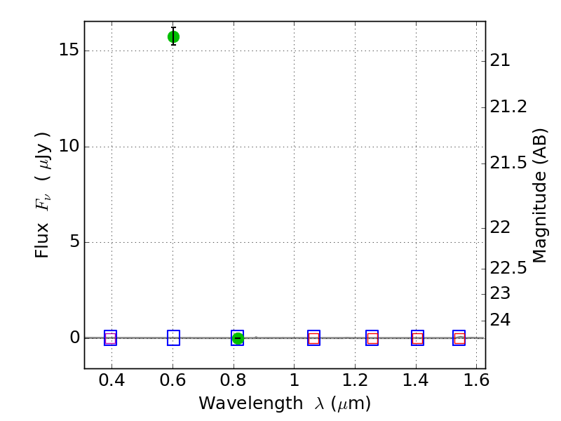
RXS0603+42-S IR detection object #663

Color images and BPZ results
Catalog: 663.cat
Black segments are analyzed here.   Roll mouse over color images to view segments.
Best viewed in a wide browser window (1200 pixels or more).   Download SED & P(z) plots to view larger versions.
In P(z) plots: Yellow lines mark the cluster redshift z = 0.228,  

Object #663   x,y = (3079, 4063)   RA, Dec = (06:03:23.280, 42:11:30.12) = (90.84700, 42.19170)   BPZ = 1.350 [0.298--7.674]   type = 11.00 (SB11_A_0_l)   stellarity = 1.00   chisq2 = 1147.00   ODDS = 0.06   z_cluster = 0.228