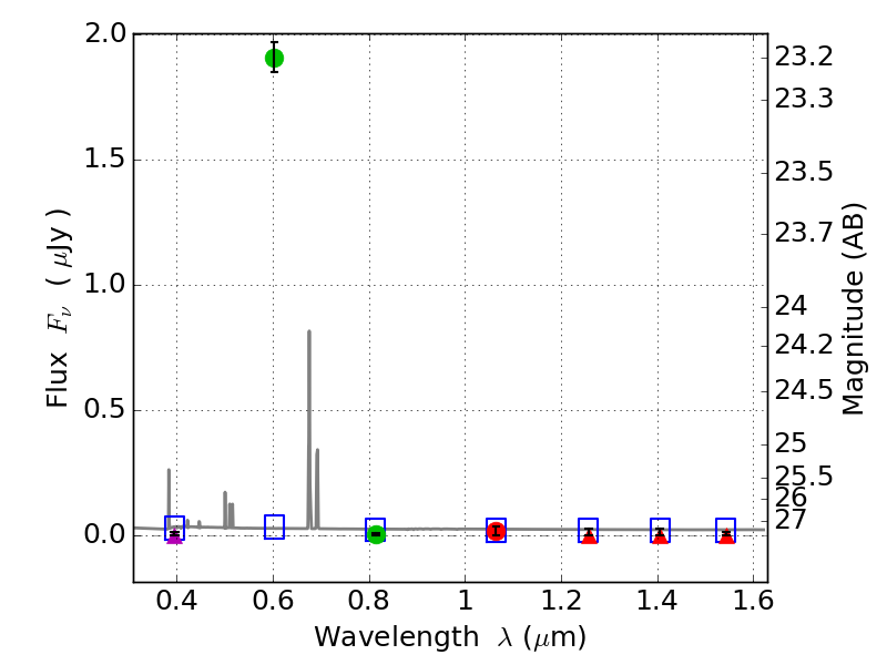
RXS0603+42-S IR detection object #6627

Color images and BPZ results
Catalog: 6627.cat
Black segments are analyzed here.   Roll mouse over color images to view segments.
Best viewed in a wide browser window (1200 pixels or more).   Download SED & P(z) plots to view larger versions.
In P(z) plots: Yellow lines mark the cluster redshift z = 0.228,  

Object #6627   x,y = (2600, 1297)   RA, Dec = (06:03:25.872, 42:08:44.16) = (90.85780, 42.14560)   BPZ = 0.031 [0.028--3.676]   type = 11.00 (SB11_A_0_l)   stellarity = 0.65   chisq2 = 251.30   ODDS = 0.07   z_cluster = 0.228