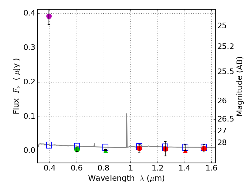
RXS0603+42-S IR detection object #6625

Color images and BPZ results
Catalog: 6625.cat
Black segments are analyzed here.   Roll mouse over color images to view segments.
Best viewed in a wide browser window (1200 pixels or more).   Download SED & P(z) plots to view larger versions.
In P(z) plots: Yellow lines mark the cluster redshift z = 0.228,  

Object #6625   x,y = (3506, 1299)   RA, Dec = (06:03:21.000, 42:08:44.16) = (90.83750, 42.14560)   BPZ = 1.611 [0.609--3.089]   type = 11.00 (SB11_A_0_l)   stellarity = 0.81   chisq2 = 58.56   ODDS = 0.21   z_cluster = 0.228