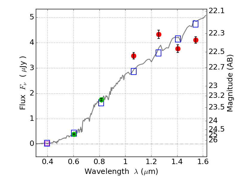
RXS0603+42-S IR detection object #6616

Color images and BPZ results
Catalog: 6616.cat
Black segments are analyzed here.   Roll mouse over color images to view segments.
Best viewed in a wide browser window (1200 pixels or more).   Download SED & P(z) plots to view larger versions.
In P(z) plots: Yellow lines mark the cluster redshift z = 0.228,  

Object #6616   x,y = (3601, 1302)   RA, Dec = (06:03:20.472, 42:08:44.52) = (90.83530, 42.14570)   BPZ = 0.682 [0.631--0.715]   type = 4.00 (Ell4_A_0)   stellarity = 0.98   chisq2 = 4.08   ODDS = 1.00   z_cluster = 0.228