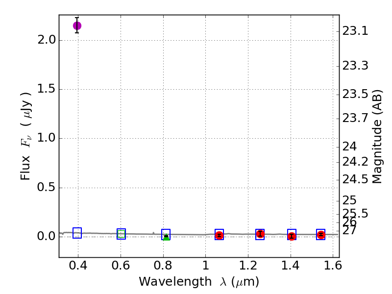
RXS0603+42-S IR detection object #6598

Color images and BPZ results
Catalog: 6598.cat
Black segments are analyzed here.   Roll mouse over color images to view segments.
Best viewed in a wide browser window (1200 pixels or more).   Download SED & P(z) plots to view larger versions.
In P(z) plots: Yellow lines mark the cluster redshift z = 0.228,  

Object #6598   x,y = (2242, 1310)   RA, Dec = (06:03:27.816, 42:08:44.88) = (90.86590, 42.14580)   BPZ = 1.700 [0.869--2.493]   type = 11.00 (SB11_A_0_l)   stellarity = 0.66   chisq2 = 264.60   ODDS = 0.29   z_cluster = 0.228