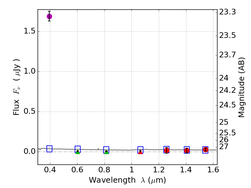
RXS0603+42-S IR detection object #6592

Color images and BPZ results
Catalog: 6592.cat
Black segments are analyzed here.   Roll mouse over color images to view segments.
Best viewed in a wide browser window (1200 pixels or more).   Download SED & P(z) plots to view larger versions.
In P(z) plots: Yellow lines mark the cluster redshift z = 0.228,  

Object #6592   x,y = (3515, 1313)   RA, Dec = (06:03:20.952, 42:08:45.24) = (90.83730, 42.14590)   BPZ = 1.698 [0.976--2.337]   type = 11.00 (SB11_A_0_l)   stellarity = 0.99   chisq2 = 199.60   ODDS = 0.29   z_cluster = 0.228