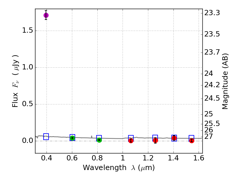
RXS0603+42-S IR detection object #6580

Color images and BPZ results
Catalog: 6580.cat
Black segments are analyzed here.   Roll mouse over color images to view segments.
Best viewed in a wide browser window (1200 pixels or more).   Download SED & P(z) plots to view larger versions.
In P(z) plots: Yellow lines mark the cluster redshift z = 0.228,  

Object #6580   x,y = (3526, 1320)   RA, Dec = (06:03:20.880, 42:08:45.60) = (90.83700, 42.14600)   BPZ = 1.698 [1.419--2.131]   type = 11.00 (SB11_A_0_l)   stellarity = 0.66   chisq2 = 195.10   ODDS = 0.56   z_cluster = 0.228