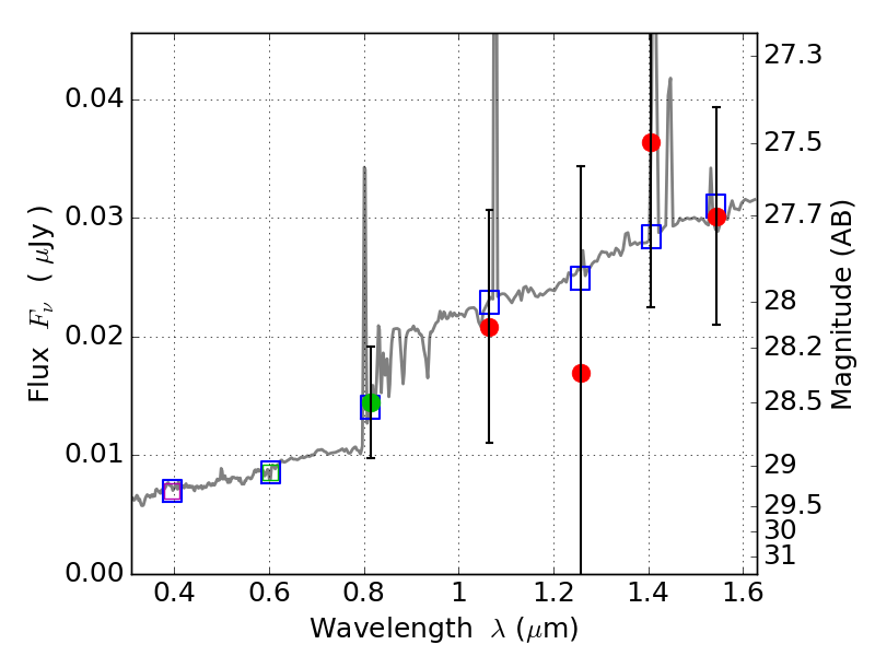
RXS0603+42-S IR detection object #6579

Color images and BPZ results
Catalog: 6579.cat
Black segments are analyzed here.   Roll mouse over color images to view segments.
Best viewed in a wide browser window (1200 pixels or more).   Download SED & P(z) plots to view larger versions.
In P(z) plots: Yellow lines mark the cluster redshift z = 0.228,  

Object #6579   x,y = (1945, 1322)   RA, Dec = (06:03:29.400, 42:08:45.60) = (90.87250, 42.14600)   BPZ = 1.150 [0.316--5.420]   type = 8.60 (SB2_B10 - SB1_B10)   stellarity = 0.08   chisq2 = 0.29   ODDS = 0.08   z_cluster = 0.228