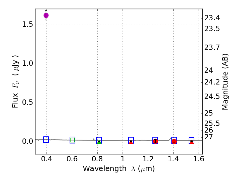
RXS0603+42-S IR detection object #6571

Color images and BPZ results
Catalog: 6571.cat
Black segments are analyzed here.   Roll mouse over color images to view segments.
Best viewed in a wide browser window (1200 pixels or more).   Download SED & P(z) plots to view larger versions.
In P(z) plots: Yellow lines mark the cluster redshift z = 0.228,  

Object #6571   x,y = (2170, 1339)   RA, Dec = (06:03:28.200, 42:08:46.68) = (90.86750, 42.14630)   BPZ = 1.762 [0.500--4.323]   type = 11.00 (SB11_A_0_l)   stellarity = 0.99   chisq2 = 224.50   ODDS = 0.24   z_cluster = 0.228