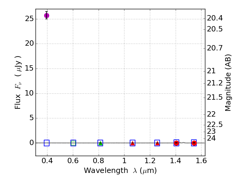
RXS0603+42-S IR detection object #6555

Color images and BPZ results
Catalog: 6555.cat
Black segments are analyzed here.   Roll mouse over color images to view segments.
Best viewed in a wide browser window (1200 pixels or more).   Download SED & P(z) plots to view larger versions.
In P(z) plots: Yellow lines mark the cluster redshift z = 0.228,  

Object #6555   x,y = (2196, 1332)   RA, Dec = (06:03:28.056, 42:08:46.32) = (90.86690, 42.14620)   BPZ = 1.175 [0.289--7.062]   type = 11.00 (SB11_A_0_l)   stellarity = 1.00   chisq2 = 382.80   ODDS = 0.08   z_cluster = 0.228