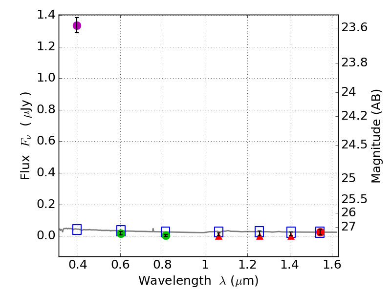
RXS0603+42-S IR detection object #6553

Color images and BPZ results
Catalog: 6553.cat
Black segments are analyzed here.   Roll mouse over color images to view segments.
Best viewed in a wide browser window (1200 pixels or more).   Download SED & P(z) plots to view larger versions.
In P(z) plots: Yellow lines mark the cluster redshift z = 0.228,  

Object #6553   x,y = (3520, 1333)   RA, Dec = (06:03:20.904, 42:08:46.32) = (90.83710, 42.14620)   BPZ = 1.700 [1.253--2.238]   type = 11.00 (SB11_A_0_l)   stellarity = 0.99   chisq2 = 175.00   ODDS = 0.38   z_cluster = 0.228