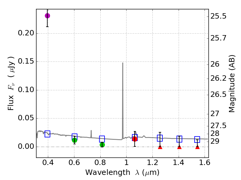
RXS0603+42-S IR detection object #6540

Color images and BPZ results
Catalog: 6540.cat
Black segments are analyzed here.   Roll mouse over color images to view segments.
Best viewed in a wide browser window (1200 pixels or more).   Download SED & P(z) plots to view larger versions.
In P(z) plots: Yellow lines mark the cluster redshift z = 0.228,  

Object #6540   x,y = (3545, 1341)   RA, Dec = (06:03:20.784, 42:08:46.68) = (90.83660, 42.14630)   BPZ = 1.612 [0.846--2.435]   type = 11.00 (SB11_A_0_l)   stellarity = 0.68   chisq2 = 29.73   ODDS = 0.29   z_cluster = 0.228